- •
La psoriasis es una dermatosis inflamatoria que cursa a brotes de periodicidad variable. En algunos pacientes es intermitente o tienen uno o dos brotes al año, mientras que en otros la psoriasis se mantiene de forma continuada. Se asocia con frecuencia a artritis y a síndrome metabólico.
- •
La intensidad de los brotes determina el tratamiento. Los casos leves se suelen controlar con tratamiento tópico. En los moderados y graves se añade la fototerapia y/o tratamientos sistémicos
- •
La gravedad de la psoriasis depende principalmente del porcentaje de piel afectada. Se considera leve cuando afecta menos del 5-7% de la superficie corporal; moderada si alcanza hasta el 10-12% y grave si la extensión es mayor. También se ha de valorar la repercusión sobre la calidad de vida.
- •
Para facilitar el cálculo de la extensión podemos aplicar el “test de la palma de la mano” del paciente, que equivale aproximadamente a un 1% de la superficie cutánea.
- •
Los tratamientos más utilizados son los corticoides tópicos potentes y los derivados de la vitamina D. En la cara y la piel fina de los pliegues se prefieren corticoides de potencia media.
- •
Para calcular la cantidad de corticoide a aplicar se puede utilizar “unidad de la yema del dedo”, la cantidad de pomada que cabe entre el pliegue interfalángico distal y la punta del dedo. Equivale a 0,5 gramos, cantidad suficiente para tratar el 2% de la superficie corporal. A un paciente con una psoriasis leve (< 5-7% de la superficie corporal) le debería bastar 1 tubo de 30g para unos 2 meses de tratamiento aplicando la crema una vez al día.
- •
Los efectos adversos locales por el uso continuado de los corticoides tópicos consisten en atrofia, estrías y telangiectasias. El más importante es el “efecto rebote” (aumento de la psoriasis o de un 20% de su extensión inicial), que podría ser la causa del incremento global de la gravedad de la psoriasis de los últimos años.
- •
Los efectos adversos sistémicos más destacados de los corticoides tópicos son la alteración del eje hipotálamo-hipofisario-adrenal, con la consiguiente insuficiencia suprarrenal. Los de los análogos de la vitamina D, la alteración del metabolismo fosfo-cálcico, con hipercalcemia y litiasis renal. Ambos son muy raros, pero pueden producirse si se aplican en más del 20% de la superficie corporal, sobre todo si existe insuficiencia renal.
La psoriasis (Ps) es una enfermedad de etiología multifactorial, con un importante componente genético, y de patogenia inmune. Se han evidenciado mutaciones en los genes de la cornificación epidérmica tardía y de determinados HLA relacionados con la inmunidad1,2. Se han identificado, igualmente, más de 60 loci de susceptibilidad como el PSORS1. Sobre esta base genética influirían factores ambientales y psicológicos cuya interacción daría como resultado la inflamación (eritema) y la hiperproliferación de queratinocitos (mayor grosor epidérmico y descamación) típicas de la psoriasis3.
Se considera una enfermedad inflamatoria sistémica ya que, en un 15-20% de los casos se asocia a artritis. También se asocia con otras comorbilidades como la enfermedad de Crohn, enfermedades cardiovasculares y síndrome metabólico (dislipemia, diabetes, obesidad)4,5, especialmente los casos graves. Además, puede causar trastornos psicológicos como depresión o ansiedad6. Todo ello tiene una importante repercusión sobre la calidad de vida, que algunos pacientes equiparan a la de la cardiopatía isquémica o el cáncer de mama7,8.
La Ps está reconocida por la OMS como “enfermedad grave, no transmisible”. Su elevada prevalencia representa una sustancial carga para la sanidad pública mundial9. Entre los factores desencadenantes destacan las infecciones, el estrés, los climas fríos, el exceso de alcohol y el tabaco, mientras que mejora con la tranquilidad, el sol y la humedad ambiental. También aparece Ps por los traumatismos o el rascado (fenómeno de Köebner) o por medicamentos como β-bloqueantes, antipalúdicos, litio, antibióticos (especialmente tetraciclinas), AINE e interferones10.
EpidemiologíaLa Ps afecta a entre un 1 y un 3% de la población mundial. Se estima que aproximadamente 125 millones de personas en todo el mundo la padecen11. En un estudio poblacional realizado en Lleida sobre la base de datos conjunta de Atención Primaria/Hospital Universitario Arnau de Vilanova se estimó una prevalencia del 1,72% de los cuales el 7,27% tenían formas moderadas-graves (≥ 10% de la superficie corporal)12. Puede comenzar a cualquier edad, pero la máxima incidencia se produce entre los 20 y 35 años. La padecen por igual hombre y mujeres13.
Formas clínicasLa más frecuente es la Ps vulgar o en placas (75%), que incluye la flexural o inversa (pliegues inguinales/interglúteo), la psoriasis en gotas o guttata, que representa aproximadamente un 24%, mientras que el 1% restante se reparte entre la eritrodermia (> 90% de la piel afectada) y las diferentes formas de psoriasis pustulosa13.
La psoriasis vulgar se manifiesta en forma de placas eritematosas circulares u ovaladas, bien delimitadas, que producen abundante descamación blanco-nacarada. Suele afectar los codos, las rodillas, las superficies de extensión de las extremidades, la zona lumbosacra y el cuero cabelludo, mientras que la psoriasis guttata se caracteriza por pequeñas pápulas eritematodescamativas diseminadas por todo el tegumento14.
EvaluaciónPara escoger el tratamiento se utilizan los criterios de gravedad (tabla 1). La National Psoriasis Foundation (NPF) recomienda utilizar el porcentaje de superficie cutánea afecta o BSA (Body Surface Area). Los objetivos terapéuticos de la NPF son alcanzar un BSA<1% en la fase inicial y conservarlo durante el mantenimiento, y un régimen de visitas de seguimiento cada 6 meses15, aunque de manera flexible según las necesidades del paciente. Para la Atención Primaria proponemos una modificación del PGA (Physician Global Avaluation, valoración global del médico)16, incorporando el BSA. A simple vista, podemos clasificar la psoriasis como leve si afecta menos del 5-7% de la superficie corporal (la palma de la mano del paciente, sin los dedos, representa un 1% de dicha superficie). Se considera moderada cuando afecta entre el 5-7 y el 12% y grave cuando la afectación es mayor. También se ha de tener en cuenta la localización de las lesiones (afectación de la cara, las manos o los genitales), que las lesiones sean muy sintomáticas (prurito, dolor, sangrado) o que el paciente tenga un importante deterioro emocional17, que hacen subir un grado la intensidad. La evaluación siempre se ha de completar con un test de calidad de vida como el DLQI (tabla 2), un cuestionario informado por el paciente, considerado tan fiable como el PGA, para calibrar la gravedad de la psoriasis debido a su solidez, simplicidad y facilidad de uso18.
Gravedad de la psoriasis
| Parámetro | Definición |
|---|---|
| PGA/IGA (valoración global del médico/investigador) | Valoración subjetiva por parte de médico de 0 a 4 (extensión, enrojecimiento, grosor y descamación)(0=psoriasis blanqueado o casi; 1=psoriasis leve, extensión reducida, con afectación hasta el 5% de la piel con placas no muy gruesas ni descamativas; 2=psoriasis moderada, extensión más allá de los codos y las rodillas, hasta el 10-12% de la superficie corporal; 3=afectación del 10-20% de la piel; 4=psoriasis grave, afectación de más del 20% de la superficie con placas muy gruesas y descamativas) |
| BSA (superficie corporal afectada)(la palma de la mano del paciente, sin los dedos, equivale a un 1% de superficie de la piel; también se puede calcular siguiendo la regla de los 9*) | Leve=<5-7% de la superficie corporal afectada; moderada=afectación de hasta el 10-12% de la superficie corporal; grave=afectación de más del 10-12% de la superficie corporal (modificado de Llamas-Velasco, 2017) |
| PASI (índice de gravedad de la psoriasis; mide el área afectada y la intensidad del eritema, el grosor y la descamación de las placas) | Se considera leve cuando la psoriasis tiene un PASI ≤ 10 y moderada-grave si es>de 10 (utilizada en los ensayos clínicos de los pacientes sometidos a tratamiento sistémico, en especial con inmunosupresores biológicos, y para valorar la respuesta a los mismos en la vida real) |
| DLQI** (índice reportado por el paciente sobre la repercusión de la psoriasis en su calidad de vida respecto a las actividades de la vida diaria, el trabajo, la vida social y las relaciones sexuales) | Los pacientes con psoriasis leve suelen tener un DLQI<de 5; la Ps se considera grave con un DLQI>10 |
Regla de los “9”, sirve para calcular la superficie de piel afectada por una dermatosis. Se tiene en cuenta que cada brazo ocupa un 9%, cada pierna un 18%, el tronco anterior representa un 18% y el posterior otro 18%. Así, si un paciente tiene una psoriasis que ocupa el 10% de los brazos (BSA 1,8), el 5% de las piernas (BSA 0,9), el 2% del tronco anterior (BSA 0,36) y el 10% de la espalda (BSA 1,8), tiene una BSA total de 4,86.
Cuestionario DLQI
| Preguntar sobre:1. Picor, dolor o escozor2. Sentirse incómodo o avergonzado3. Tener problemas para hacer la compra o para realizar las actividades del hogar/jardín4. Tener dificultad para elegir la ropa diaria5. Tener dificultad para realizar actividades sociales o de ocio6. Tener dificultad para realizar actividades deportivas7. Tener dificultades en el trabajo/estudio8. Tener dificultades en las relaciones sociales o familiares9. Tener dificultades en las relaciones sexuales10. Tener dificultades para aplicar el tratamiento |
Cada respuesta se valora de 0 a 4, según la intensidad. Si la suma total de las respuestas es de 0 a 5 significa que el impacto en la calidad de vida del paciente es bajo, de 6 a 10 es moderado y más de 10 se considera que el impacto es importante.
Cada escala del DLQI se correlaciona con la estratificación de la gravedad de la psoriasis como leve, moderada y grave.
Las redes sociales están llenas de desinformación acerca de la psoriasis. Se habla de la “culpabilización” de la víctima y se preconiza el papel de la higiene, del contagio y la “vacunación”, se difama la terapia convencional y se validan tratamientos y dietas “naturales” y la “curación” de la enfermedad, por parte de celebridades. Los médicos de familia deben ser conscientes del contenido de la desinformación en línea y combatirla con información basada en la evidencia para optimizar los resultados de salud de los pacientes con psoriasis19.
En la primera visita se debería comentar que las decisiones terapéuticas dependen de dicha gravedad, incluyendo el impacto en la calidad de vida. Es preferible que la decisión sea compartida entre el médico y el paciente para mejorar la adherencia.
En una encuesta a 93 pacientes se constató que la media de la adherencia al tratamiento tópico fue baja, de solo el 50-70%. Los resultados fueron aún peores en los pacientes tratados con corticoides tópicos (CT) (del 40%) debido a la “corticofobia”20. La adherencia depende también de la rapidez de acción, la frecuencia de las aplicaciones, la denominada “fatiga tópica”, la ausencia de objetivos claros del tratamiento21. Mejora si se establece una buena relación médico-paciente o se facilita un acceso rápido o un teléfono o e-mail de contacto para los brotes22.
También es importante el vehículo (tabla 3). En la mayoría de las localizaciones de la psoriasis se utilizan las pomadas, que retienen la humedad de la piel y facilitan la penetración de los principios activos. En la cara y los pliegues se prefieren las lociones y las cremas, menos densas y más aceptables cosméticamente, aunque con penetrabilidad más baja. Los ungüentos se reservan para las manos y los pies ya que, al ser más grasos y persistir más tiempo en la capa córnea, liberan de forma gradual el fármaco que transportan. Las lociones, las soluciones y los geles son más apropiados para la psoriasis del cuero cabelludo, pero tienen un mayor contenido hidroalcohólico y se evaporan con facilidad23–25.
Vehículos
| Tipo | Características | Aplicación |
|---|---|---|
| Ungüentos | Compuesto exclusivamente de grasas (p. ej., vaselina o lanolina)Vehículo muy oclusivoMayor capacidad de absorción del fármaco (se acumulan en la capa córnea y liberan el fármaco progresivamente)Baja aceptabilidad cosmética | Lesiones palmo-plantares (no aplicar en zonas pilosas, producen oclusión folicular y de los ostiums de las glándulas sudoríparas)Pueden causar foliculitis y sudaminaLesiones gruesas, hiperqueratósicasIndicados en la fase crónica |
| Pomadas | Mezcla de agua en aceite (50-70%) (W/O)Proporcionan una penetración alta del fármacoSon poco transpirablesAceptabilidad cosmética media | Lesiones gruesas e hiperqueratósicasAplicables en la mayoría de las localizaciones típicas de la psoriasis: codos, rodillas, superficies de extensión de las extremidadesIndicadas en la fase crónica |
| Cremas | Mezcla de aceite (20-40%) en agua (O/W)Proporcionan una penetración media del fármacoAceptabilidad cosmética alta | Aplicables preferentemente en las áreas de piel fina como la cara y los plieguesNo dejan residuoIndicadas en la fase subaguda de las dermatosis |
| Leches | Mezcla de aceite (< 20%) en agua (O/W)Proporcionan una penetración baja ya que se evaporan fácilmenteAceptabilidad cosmética alta (no manchan) | Para el tratamiento de superficies extensas o para la cara, el cuello o los plieguesSon transpirablesIndicados en la fase aguda de las dermatosis, después de los fomentos |
| Lociones (hidroalcohólicas) y geles | Poco grasas, poco oclusivosProporcionan una penetración baja ya que se evaporan en parteAceptabilidad alta ya que no apelmazan el pelo | Zonas pilosas como el cuero cabelludoIndicados en la fase aguda de las dermatosis, después de los fomentos |
| Espumas | Vehículo novedosoAceptabilidad alta por su texturaElaboración complejaSon costosas | Se puede aplicar prácticamente en cualquier localización |
Existen otros vehículos como el champú (se deja actuar durante 15 minutos) o la espuma (no grasa de propionato de clobetasol al 0,05% o grasa de una combinación fija de dipropionato de betametasona con calcipotriol). Con estas nuevas formulaciones, se han realizado algunos estudios de corta duración (4 semanas), en los que se comprobó que la placa diana se había blanqueado o casi en el 80% de los casos con el champú26,27 y en alrededor del 50% de los pacientes con la espuma28. La espuma de dipropionato de betametasona y calcipotriol (DB/Cal) proporciona una sobresaturación de las sustancias activas, que favorece una mayor penetración y biodisponibilidad29. Recientemente se ha comercializado una combinación fija de DB/Cal en crema con una buena cosmeticidad que facilita la adherencia30,31.
En una encuesta sobre los vehículos, realizada por la National Psoriasis Foundation (NPF) en 2022, los pacientes dijeron preferir las cremas O/W (75,7%), seguidas de las espumas (70,8%), los geles (48,7%), las soluciones (42,8%) y los ungüentos (16,5%). Lo más valorado fue la “sensación de la aplicación en la piel” (55,2%), que no mancharan (49,9%), la absorción rápida (46,7%), la facilidad de aplicación (28,5%), la ausencia de olor desagradable (22,4%) y la ausencia de escozor o quemazón (10%)32.
Las publicaciones acerca del tratamiento de la Ps leve están monopolizadas por los CT y los análogos de la vitamina D3, mientras que unas pocas se refieren a los inhibidores tópicos de la calcineurina (ITC), el tazaroteno (TAZ) (un retinoide tópico) y el tapinarof (no comercializado en Europa)33,34. Casi han desaparecido los artículos sobre los alquitranes y la antralina, de contrastada eficacia por su uso durante más de 100 años, pero con una adherencia muy baja porque huelen, manchan la piel y la ropa, y pueden irritar la piel, aunque el riesgo de efectos adversos (EA) sistémicos en la vida real es prácticamente nulo, lo que los hace adecuados para el tratamiento en niños y embarazadas. Se suelen reservar para el tratamiento de la psoriasis refractaria, antes de iniciar un tratamiento sistémico (tabla 4)35.
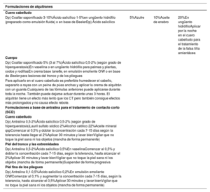
Formulaciones para el tratamiento de la psoriasis
| Formulaciones de alquitranes | |||
|---|---|---|---|
| Cuero cabelludo | |||
| Dp) Coaltar saponificado 3-10%Ácido salicílico 1-5%en ungüento hidrófilo (preparado como emulsión fluida) o en base de BeelerDp) Ácido salicílico | 5%Azufre | 10%Aceite de enebro | 20%En ungüento hidrófiloAplicar por la noche en el cuero cabelludo para el tratamiento de la falsa tiña amiantácea |
| Cuerpo | |||
| Dp) Coaltar saponificado 5% (3 al 7%)Ácido salicílico 0,5-2% (según grado de hiperqueratosis)En vaselina o en ungüento hidrófilo para palmas y plantas, codos y rodillasEn crema base lanette, en emulsión emoliente O/W o en base de Beeler para lesiones del tronco y de los pliegues | |||
| Para aplicarlo en el cuero cabelludo es preferible humedecer el cabello, separarlo a rayas con un peine de púas anchas y aplicar la crema de alquitrán con un guante.Cualquiera de las fórmulas anteriores puede aplicarse durante toda la noche. También puede dejarse actuar durante unas 3 horas. El alquitrán tiene un efecto más lento que los CT pero también consigue efectos más prolongados y no causa efecto rebote. | |||
| Formulaciones a base de antralina para el tratamiento de contacto corto (SCD) | |||
| Cuero cabelludo | |||
| Dp) Antralina 0,5-2%Ácido salicílico 0,5-2% (según grado de hiperqueratosis)Lauril sulfato sódico 2%Alcohol cetílico 22%Aceite mineral qspComenzar al 0,5% y doblar la concentración cada 7-15 días según la tolerancia hasta llegar al 2%Aplicar 30 minutos y lavar bienVigilar que no toque la piel sana ni los objetos (mancha de forma permanente) | |||
| Piel del tronco y las extremidades | |||
| Dp) Antralina 0,5-2%Ácido salicílico 0,5%En vaselinaComenzar al 0,5% y doblar la concentración cada 7-15 días, según la tolerancia, hasta alcanzar el 2%Aplicar 30 minutos y lavar bienVigilar que no toque la piel sana ni los objetos (mancha de forma permanente)Suspender de forma progresiva | |||
| Piel fina de los pliegues | |||
| Dp) Antralina 0,1-0,5%Ácido salicilico 0,2%En emulsión emoliente O/WComenzar al 0,1% y augmentar la concentración cada 7-15 días, según la tolerancia, hasta alcanzar el 0,5%Aplicar 30 minutos y lavar bienVigilar que no toque la piel sana ni los objetos (mancha de forma permanente) |
Para realizar estos tratamientos se requiere experiencia.
En caso de psoriasis moderada, la terapia tópica es complementaria. El tratamiento principal es fototerapia UVB, retinoides orales (acitretina, el menos tóxico de los tratamientos sistémicos, excepto en mujeres embarazadas), o metotrexato (el más experimentado), mientras que en las formas graves pueden ayudar a la PUVA-terapia (psoralenos y UVA), la ciclosporina o los medicamentos biológicos36–38.
Siempre hemos de tener en cuenta que los fármacos tópicos han de atravesar la epidermis, cuyo espesor es de 60-80μm (0,06-0,08mm, menos que un papel de fumar) excepto en palmas y plantas39. Actúan en la dermis donde se localiza la inflamación y donde se ubican los capilares sanguíneos, por lo que cualquier tratamiento tópico puede tener repercusiones sistémicas cuando se aplica en una superficie cutánea extensa (BSA>10%).
El tratamiento se planifica en dos fases: inducción a la remisión que por lo general dura de 8 a 12 semanas; y mantenimiento de la misma.
Tratamiento de inducciónCorticoides tópicosSe usan desde hace más de 70 años40. Son eficaces, actúan con rapidez, casi nunca producen reacciones alérgicas y tienen una estabilidad casi ilimitada. Son bien aceptados por los pacientes ya que no manchan, no huelen ni irritan41,42. Sin embargo, su uso es controvertido ya que la respuesta terapéutica por lo general es de corta duración, en muchos casos la psoriasis reaparece en menos de 30 días. Además, pueden producir un efecto rebote y no están exentos de efectos secundarios locales y sistémicos35,43.
Se clasifican por su potencia, que tiene relación directa con su efectividad y es inversamente proporcional a su seguridad. Existen diversas clasificaciones como la de la reciente revisión Cochrane en 4 grupos (CT de baja potencia, de potencia media, potentes y superpotentes)44, similar a la recomendada por el Ministerio de Sanidad45 (tabla 5). Recomendamos familiarizarse con uno o dos de cada grupo. En las zonas típicas de Ps se recomiendan CT potentes; mientras que en áreas de piel fina (cara, cuello, flexuras y genitales), se suelen utilizar CT de potencia media o baja46, áreas más susceptibles a la atrofia. En los niños y en psoriasis extensas se deben utilizar CT de potencia baja o media para reducir el riesgo de absorción sistémica. La potencia y excipiente se elige en función de la extensión del área afectada y el grosor y la localización de las lesiones, pero también por la edad y las preferencias del paciente42.
Clasificación de los corticoides tópicos según su potencia
| Potencia baja (I) |
|---|
| Hidrocortisona acetato 1 y 2,5% |
| Fluocortina 0,75% |
| Dipropionato de alclometasona 0,05% |
| Desonida al 0,05% |
| Fluocinolona al 0,01% |
| Potencia media (II) |
| Valerato de hidrocortisona 0,2% |
| Valerato de betametasona 0,05% y 1% |
| Acetónido de fluocinolona 0.01% |
| Dipropionato de beclometasona 0,025% |
| Aceponato de hidrocortisona 0,1% |
| Aceponato de metilprednisolona 0,1% |
| Acetónido de fluocinolona 0,025% |
| Propionato de fluticasona al 0,05% |
| Potencia alta (III) |
| Dipropionato de beclometasona 0,025% |
| Acetónido de triamcinolona 0,05% y 0,1% |
| Prednicarbato 0,25% |
| Furoato de mometasona 0,1% |
| Fluocinónido 0,05% |
| Amcinonido 0,1%, |
| Desoximetasona 0,5 y 2,5% |
| Acetónido de fluocinolona 0,2% |
| Potencia muy alta (IV) |
| Valerato de diflucortolona 0,3% |
| Diacetato de diflorasona al 0,05% |
| Propionato de halobetasol al 0,05% |
| Dipropionato de betametasona 0,05% |
| Propionato de clobetasol 0.05% |
| (Existen pequeñas diferencias entre los diversos métodos de clasificación) |
El plan terapéutico consiste en una fase intensiva inicial de 8 a 12 semanas con CT potentes o muy potentes (grupos III y IV), de acción rápida, (o bien una combinación de DB/Cal). Con este tratamiento es de esperar que las lesiones de psoriasis muestren una mejoría del 75%-90% en unas 4 semanas25,47. En una revisión el 68% de los sujetos que usaron propionato de clobetasol 0,05% obtuvieron una puntuación de 0 o 1 en la semana 2, en comparación con el 21% del grupo control (p<0,0001). Con la aplicación de DB durante 12 semanas se eliminó o casi la Ps del cuero cabelludo en el 72% de los pacientes, mientras que con espuma de DB/Cal, el 38,3% de los sujetos con psoriasis logró el éxito del tratamiento en comparación con placebo (22,5%; p<0,001)48.
Los pacientes están preocupados por los EA de los CT potentes y solicitan la cantidad a utilizar para minimizar sus EA. Se recomienda utilizar la “unidad de la yema del dedo”, la cantidad de pomada que cabe desde la punta del dedo índice hasta el pliegue de la articulación interfalángica distal. Son aproximadamente 0,5 gramos, lo que es suficiente para cubrir aproximadamente el 2% de la superficie corporal de un adulto49. Se necesitan como máximo dos tubos de 30g de crema para el tratamiento de una psoriasis leve durante 1 mes (1 aplicación cada 24 horas). También se les debe informar que no dejen el corticoide de forma brusca, ya que el riesgo de rebote es más elevado50.
Los efectos adversos (EA) locales se producen con tratamientos prolongados de CT potentes en la cara o en zonas de piel fina (párpados y pliegues). Destacamos la atrofia, que suele revertir en poco tiempo, las estrías, que se originan por fragilidad de las fibras elásticas, la equimosis, que se produce por rotura de las paredes vasculares51,52, la inducción o el empeoramiento de una rosácea, de una dermatitis perioral o del acné51,53. Más rara vez producen ardor o dolor, en especial los CT superpotentes. De todos modos, el más importante es el efecto rebote, consistente en la aparición de una psoriasis de mayor gravedad (pustulosa o más inflamatoria, inestable o con un 20% más de extensión) al suspender los CT. En un estudio se detectaron 35 casos de un grupo de 545 pacientes (≈ 6%), lo que pudiera ser uno de los factores responsables del empeoramiento progresivo de la Ps54.
Los EA sistémicos son raros y pueden desarrollarse con el uso prolongado de CT potentes en zonas de piel fina o en superficies extensas durante más de 2-4 semanas e incluyen supresión del eje hipotálamo-hipofisario-adrenal (HHA), síndrome de Cushing, hipertensión y diabetes tipo II55,56, por lo que es imprescindible explicar a los pacientes como deben usarlos. Como norma general, es preferible no sobrepasar los 45g mensuales, no aplicarlos más del 10% de la BSA ni utilizarlos ininterrumpidamente durante más de 8 semanas seguidas45.
Están contraindicados en caso de infecciones bacterianas activas (impétigo, forúnculos y ántrax, celulitis o eritrasma)57,58. También en presencia de infecciones por cándida y dermatofitos, ya que pueden causar tiña incógnita, tiñas extensas o un granuloma tricofítico de Majocchi59 e incluso infecciones graves como las dermatofitosis profundas60 por su efecto inmunosupresor.
Análogos sintéticos de la vitamina DLa vitamina D se sintetiza en la piel por efecto de la radiación UVB. Desempeña un papel crucial en la homeostasis del calcio y el fósforo, pero también en la regulación de la homeostasis cutánea y la modulación de la respuesta inmunitaria. Desde hace años se han estudiado sus análogos sintéticos que se unen igualmente al receptor de vitamina D (VDR) y activan los genes implicados en la proliferación epidérmica, la queratinización y la inflamación61.
El calcipotriol se dispensa actualmente en España en forma de crema, se aplica 2 veces al día a una concentración de 50μg/g, observándose una mejoría al cabo de 1 semana de tratamiento, aunque el máximo efecto se observa a las 6-8 semanas. Tiene una potencia antipsoriásica moderada; a los 6 meses consigue el blanqueamiento del 20% de los pacientes y han mejorado un 60% más62,63. Su eficacia es similar a la de los CT de potencia media, pero inferior a los CT de potencia elevada64, aunque produce más irritación65. Los análogos de la vitamina D también son eficaces en la psoriasis invertida (axilar, inframamaria y/o anogenital) lo que se ha corroborado en 4 estudios66, pero en estas localizaciones es aún más irritante.
La eficacia del calcipotriol aumenta si se asocia a un CT potente. En un ensayo controlado y aleatorizado (ECA) comparativo entre el lado derecho y el izquierdo, dos semanas de tratamiento con propionato de clobetasol (PC) 0,5% produjeron una disminución significativamente mayor de los síntomas (eritema, induración y descamación) que el tratamiento con calcipotriol contralateral (P<0,0001)67. La misma asociación fue eficaz en un estudio abierto sobre 70 pacientes tratados con un aerosol de clobetasol durante los fines de semana aplicado dos veces al día y calcipotriol 5 días entre semana, durante 4 semanas68.
El calcitriol consiste en el producto biológico final activo, la 1α,25-(OH)2-vitamina D369. Se ha comprobado que la pomada, a dosis de 3μg/g, aplicada dos veces al día es superior al placebo en el tratamiento de la psoriasis en placas70.
Los análogos de vitamina D no producen taquifilaxia ni efecto rebote, aunque pueden causar EA locales (eritema, prurito, ardor, edema) hasta en el 35% de los pacientes. Los EA sistémicos son raros, consisten en hipercalcemia y supresión de la hormona paratiroidea. Pueden producirse si se aplican en un área superior al 30% de la superficie corporal o se excede la dosis máxima recomendada (100g por semana). El riesgo es superior si el paciente padece insuficiencia renal o alguna alteración en el metabolismo del calcio71.
Combinaciones a dosis fijas de CT potentes y análogos de vitamina DSe había demostrado que el tratamiento rotatorio o secuencial con DB y calcipotriol de forma alternativa cada 4 semanas proporcionaba un mayor beneficio que cualquiera de las dos monoterapias por separado72. En 2008, la EMA y la FDA aprobaron la comercialización de una combinación a dosis fija de dipropionato de betametasona (DB) 0,05mg/g, un CT de potencia elevada, y calcipotriol 50μg/g (Cal). Su uso se basaba en la doble acción de DB/Cal sobre la inflamación dérmica y la proliferación anormal de queratinocitos, 2 de los mecanismos capitales en la patogénesis de la psoriasis. Está disponible en diferentes vehículos: pomada, gel, crema y espuma. Tiene una dosificación simple (1-2 aplicaciones al día) lo que proporciona una mejor adherencia73,74. Se han realizado varios estudios para determinar qué formulación es más efectiva y cuál tiene mayor aceptación por parte del paciente sin que se hayan encontrado diferencias significativas75,76. En un estudio con 20 pacientes (10 con psoriasis del cuero cabelludo) que comparaba la crema y la espuma, alrededor del 60% de los sujetos prefirieron la crema77.
En un ECA de corta duración (4 semanas) que incluyó 1106 pacientes, la eficacia de DB/Cal se comparó con DB solo y con calcipotriol solo. No se encontraron diferencias significativas entre las 2 preparaciones con DB, pero sí entre éstas y el calcipotriol solo78. La combinación también se comparó con un CT ultrapotente, el propionato de clobetasol (PC) 0,005% en espuma, durante 4 semanas de tratamiento. Se constató que el PC era más efectivo que DB/Cal. El 75% de los pacientes tratados con el aerosol de PC alcanzaron un PGA de 0-1 (blanqueado o casi) al final de las 4 semanas en comparación con el 45% de los tratados con DB/Cal (p=0,003)79. En una revisión sistemática, DB/Cal fue ligeramente más eficaz que el DP como monoterapia (pero la diferencia fue inferior al 10%). Su precio 5 veces superior podría justificar la elección de un CT potente en primer lugar como tratamiento de ataque80,81.
Inhibidores tópicos de la calcineurinaLos inhibidores tópicos de la calcineurina (ITC) (tacrolimus en pomada al 0,1 y al 0,3% y pimecrolimus en crema al 1%) son macrólidos inmunosupresores aprobados por la FDA y por la EMA para el tratamiento de la dermatitis atópica (DA), pero no están aprobados por las agencias reguladoras para el tratamiento de la psoriasis. El tacrolimus únicamente redujo la gravedad de la psoriasis en un 33%, frente al 42,9% de mejoría obtenido con el placebo82. Esta falta de efectividad se debe a que tiene un peso molecular superior a 500Da, por lo que penetra con dificultad83.
El tacrolimus se puede recomendar para el tratamiento de la psoriasis en zonas de piel fina como la cara, los genitales y las zonas intertriginosas (Ps inversa) donde los CT pueden producir más fácilmente atrofia cutánea, estrías o telangiectasias84.
Tacrolimus puede causar ardor y prurito en cerca del 25% de los pacientes con DA85. Los síntomas suelen ser de corta duración (30’) y mejoran con el uso continuado. Se recomienda usarlos con precaución durante el embarazo y, durante la lactancia, no aplicarlos en el pezón ni la areola84.
Retinoides tópicosEl tazaroteno (TAZ) se desarrolló para el tratamiento tópico de la psoriasis en placas leve o moderada hace casi 40 años86. Con TAZ 0,1% se consiguen reducciones significativas del grosor y la descamación de las placas después de 12 semanas. No causa efecto rebote y mantiene la respuesta clínica una vez finalizado el tratamiento y puede desempeñar un papel importante en la terapia de mantenimiento87. Su eficacia es similar a la de los CT de potencia media (fluocinonida al 0,05%)88, pero inferior a los CT potentes como el propionato de clobetasol89.
Su eficacia aumenta con el uso concomitante con CT de potencia media o alta al tiempo que se reduce el riesgo de atrofia inducida por los CT. Ello ha llevado a comercializar una solución con la combinación fija de un corticoide potente, el propionato de halobetasol al 0,01% y el TAZ 0,045% en una misma formulación90 lo que permite una administración más uniforme y eficiente de los ingredientes activos en dosis más bajas que las formulaciones convencionales de monoterapia.
Se han realizado estudios comparativos entre la espuma DB/Cal y la loción PH/TAZ. Con la espuma DB/Cal consiguió en 4 semanas una tasa de éxito del tratamiento significativamente mayor que 8 semanas de tratamiento con loción PH/TAZ (51,4 frente a 30,7%, p<0,001). Por otra parte, el costo del tratamiento con DB/Cal es casi un 40% menor que el de la loción de loción HP/TAZ91. De todos modos, DH/TAZ no está comercializado todavía en España.
Sus EA consisten en irritación local moderada (prurito, eritema, quemazón y descamación) en un número significativo de pacientes92. La irritación es menor si se aplica en terapia de contacto corto (SCT) (dejándolo aplicado 20 minutos)93 o concomitantemente con corticoides tópicos94. No se recomienda para el tratamiento de pacientes embarazadas, en período de lactancia o que intentan concebir95 debido al riesgo de teratogenicidad por su absorción sistémica.
Tratamiento de mantenimientoDurante las visitas de seguimiento es importante hacer nuevos PGA (preferiblemente con fotografías) y DLQI que facilitarán los comentarios con el paciente. Preguntar también sobre el grado de cumplimiento de la medicación (adherencia), si está satisfecho con su eficacia o desea un cambio de fármaco o modificar el vehículo. También podemos responder a preguntas o dudas que surjan sobre la seguridad de los fármacos y se pueden discutir las diferentes estrategias del tratamiento a largo plazo. Lo más importante en el manejo de la psoriasis es mantener al paciente bien informado. El médico debe ser empático, dedicarle el tiempo necesario y explicarle en qué consiste la enfermedad y sus tratamientos. Que no tiene cura y que el principal objetivo es obtener el control de la enfermedad, su blanqueamiento8.
No existen directrices internacionales claras sobre el tratamiento a largo plazo de la Ps. Se ha de planificar un tratamiento de mantenimiento que sea efectivo, con pocos EA y que disminuya el riesgo de recurrencias. Se pueden seguir estrategias como la “reducción gradual”, el tratamiento intermitente “reactivo” (según se precise), el tratamiento “rotatorio” o “secuencial” con más de un fármaco o la terapia continua “proactiva”96.
Si se trata de un primer brote, tras el tratamiento intensivo, lo aconsejable es realizar una reducción gradual en la frecuencia de uso (pasar a tratamiento a días alternos, luego 2 días en semana y finalmente suspender el tratamiento). También se puede instaurar en caso de un paciente que tenga brotes muy espaciados (p. ej., 1 o 2 brotes al año). Discutiremos la relación riesgo/beneficio, recomendaremos crema hidratante y baños de sol en caso de fototipos altos, evitando las horas de máxima insolación. Algunos de estos pacientes están suficientemente controlados con un tratamiento intermitente, reactivo, durante años. Otros tienen una historia de varios brotes al año o le aparecen las lesiones pocos días después de suspender el tratamiento. Esto ocurre más habitualmente con el tratamiento con CT. Son pacientes que requieren un tratamiento casi continuado “proactivo”97.
Los CT son seguros si se utilizan por períodos cortos de tiempo (según el prospecto no se debería sobrepasar las 4-6 semanas seguidas), aunque se precisan de 8 a 12 semanas para conseguir los objetivos terapéuticos en la Ps en placas (PGA=0-1, blanqueamiento o casi). El problema es que en muchas ocasiones la psoriasis reaparece en menos de 1 mes o, peor aún, puede haber un rebote (en un 6% reaparece con una mayor extensión de la psoriasis que antes del tratamiento)54.
En los últimos años se ha introducido el tratamiento “proactivo”, consistente en un tratamiento de mantenimiento con CT 2 veces en semana (p. ej., lunes y jueves o los fines de semana) y los otros 3-5 días alguno de los otros tratamientos disponibles (análogos de la vitamina D, retinoides tópicos, alquitranes, antralina SCT)98,99. Es recomendable evitar los CT diarios a largo plazo, para reducir los EA.
Para el tratamiento proactivo también se ha preconizado la combinación DB/Cal. Se demostró su eficacia en un ECA de 52 semanas que incluyó 828 pacientes, en el que entre el 69% y el 74% de los pacientes del grupo tratado con DB/Cal una o dos veces al día alcanzaron un estado de blanqueado o casi en comparación con el 27% de los pacientes tratados con el vehículo (P<0,001)100. El metanálisis de una revisión sistemática concluyó que la probabilidad de éxito terapéutico del combinado DB/Cal fue dos veces mayor que con la monoterapia con análogos de la vitamina D101.
También se evaluó la espuma DB/Cal dos veces por semana como tratamiento a largo plazo (52 semanas). En un ECA, 545 pacientes fueron distribuidos de forma aleatoria, a doble ciego, para recibir tratamiento proactivo dos veces por semana con espuma DB/Cal (n=272) o reactivo (espuma solo; n=273), con rescate con espuma DB/Cal una vez al día durante 4 semanas en caso de recaída. Completaron el ensayo 251 pacientes (46,1%, 53,9% lo abandonaron). La mediana de tiempo transcurrido hasta la primera recaída fue de 56 días con el tratamiento proactivo y 30 días con la terapia reactiva (el tratamiento proactivo proporcionó 41 días adicionales de remisión) (p<0,001). Igualmente se redujeron el número de recaídas por año (3,1 con la terapia proactiva y 4,8 con la reactiva)102.
Alternativamente también se puede utilizar por separado el DB o el PC (fase inicial a diario, hasta conseguir los objetivos terapéuticos) seguido de DB o PC 2 días por semana y calcipotriol los otros 5 días en la fase de mantenimiento, para reducir el costo del tratamiento81.
En los ensayos a largo plazo no se han detectado EA significativos y los resultados son similares a los obtenidos en las primeras semanas99,103.
Se incluye un algoritmo terapéutico (tabla 6) según la gravedad de la psoriasis que se puede aplicar desde Atención Primaria.
Algoritmo terapéutico según gravedad de la psoriasis
| Leve (PGA 1-2; BSA<5-7; DLQI<5; no afectación de la cara, las manos o la región anogenital) | Moderada (PGA 2-3; BSA ≥ 5-7 pero ≤ 10-12; DLQI 5-10 o afectación de la cara, las manos o la región anogenital) | Grave (PGA 4; BSA ≥ 10-12, DLQI ≥ 10; afectación de la cara, las manos o la región anogenital) | |
| Tratamiento inicial(8-12 semanas) | CT potente o superpotente(Dipropionato de betametasona o propionato de clobetasol, cada 24 horas) | CT potentes o superpotentesAñadir fototerapia UVB de banda estrecha (311 nm) (de mano o en cabina) o acitretina 10-25 mg/día o re-UVB** o metotrexato ≤ 15 mg/semana | Derivar al dermatólogoPUVA o Re-PUVA*** o metotrexato ≥ 15 mg/semana o ciclosporina 3-5 mg/kg/d o inmunosupresores biológicos |
| Objetivos terapéuticos | PGA 0-1; BSA 0-1 o reducción en 2-3 puntos la BSA inicial | PGA 0-1; BSA 0-1 | PGA 0-1; BSA 0-1; PASI 0-1; DLQI 0-1 |
| Tratamiento de mantenimiento(hasta 52 semanas) | Dipropionato de betametasona o propionato de clobetasol 2 días en semanamásCalcipotriol 3-5 días a la semanaReducir gradualmente los CT si blanqueamiento o casiReintroducir CT diario si recidivaSi no mejora añadir calcipotriol o tazaroteno o antralina SCT 8-12 semanas* | CT potentes o superpotentesAñadir fototerapia UVB de banda estrecha (311 nm) o acitretina 10-25 mg/día o re-UVB* o metotrexato ≤ 15 mg/semana | PUVA o Re-PUVA*** o metotrexato ≥ 15 mg/semana o ciclosporina 3-5 mg/kg/d o inmunosupresores biológicos |
| Tratamiento inicial y seguimiento por MF | Tratamiento inicial y seguimiento por MF con experiencia en el manejo de acitretina o metotrexato o fototerapia UVB o por dermatólogo general | Tratamiento inicial y seguimiento preferiblemente por dermatólogo especializado en psoriasis |
Además de la efectividad clínica también se han de tener en cuenta factores económicos ya que se trata de una enfermedad de por vida. Existe una gran variabilidad en el precio de cada compuesto, desde las cremas de propionato de clobetasol 0,05% o de dipropionato de betametasona 0,5% que cuestan poco más de 2 € y el calcipotriol, el tazaroteno y los ITC que cuestan unos 20 €, mientras que el fármaco que combina DB/Cal en gel, crema o espuma cuesta unos 45 €, todos ellos PVP. Las formulaciones magistrales de alquitrán o antralina tienen un PVP variable que depende de la farmacia que los prepare. Hemos de tener en cuenta las políticas de reembolso de cada país, en las que también hay una amplia variabilidad. En España, los fármacos que combinan DB/Cal tienen aportación reducida en la prescripción por el sistema público de salud.
Cuidado de la piel y dieta en pacientes con psoriasisAdemás del tratamiento dermatológico es igualmente importante recomendar tratamientos complementarios como productos para la higiene de la piel, cremas hidratantes y una buena alimentación y ejercicio para combatir la obesidad. El cuidado de la piel es necesario tanto en la fase aguda como para el mantenimiento durante el proceso de cicatrización en los períodos asintomáticos. Para la higiene se deben usar jabones suaves o sustitutos del jabón (“syndet”) con un pH neutro o ligeramente ácido, como el de la piel normal, y se recomienda evitar los antisépticos, ya que pueden irritar la piel. El uso de hidratantes es un estándar internacionalmente aceptado como complemento al tratamiento de la psoriasis8. Los pacientes solicitan una terapia adicional para mejorar algunos síntomas como el prurito, la descamación y la elasticidad de la piel. Varios estudios han reportado anomalías en la barrera epidérmica en lesiones de psoriasis. La alteración de la función barrera facilita el paso de químicos ambientales que pueden promover la liberación de mediadores proinflamatorios y favorecer el desarrollo de un brote de Ps. Las cremas hidratantes utilizadas contienen habitualmente ceramidas, urea, agentes queratolíticos, sales de zinc o niacinamida104. También se usa la vaselina, especialmente para las lesiones palmoplantares. Cualquiera de ellos mejora la pérdida transepidérmica de agua (TEWL, TransEpidermal Water Loss) y la hidratación del estrato córneo, facilitando la penetración de los fármacos y mejorando la elasticidad de la piel, uno de los síntomas molestos para los pacientes con psoriasis105. En otro estudio se comprobó que la aplicación de productos hidratantes reducía la frecuencia de las recaídas, facilitaba el mantenimiento de la mejoría obtenida y mejoraba la descamación y la sequedad cutánea106. Estudios más recientes que aplicaron hidratantes con ceramidas mostraron que las placas de psoriasis se vuelven más suaves y mejora la absorción de tratamientos tópicos107. Con las hidratantes mejora el aspecto de la piel que, además, se vuelve más elástica y se restablece la barrera cutánea.
Ahora bien, bajo el término de “hidratantes” se incluyen términos como el de “humectantes”, “emolientes” u “oclusivos”, sin que exista acuerdo entre médicos y farmacéuticos sobre las propiedades diferenciales de estos productos, hasta el punto de que estos términos se usan indistintamente. También existen discrepancias sobre cuál de ellos usar en cada caso, cuándo, dónde y cómo utilizarlos ni se ha encontrado una evidencia científica clara de que existan diferencias significativas en su efectividad. Al final, en la elección de una hidratante a menudo se tienen en cuenta factores poco predecibles como el precio, la preferencia del médico y, sobre todo, la del paciente, que tiene en cuenta las “sensaciones” que le producen en la piel lo cual es completamente subjetivo108. Nosotros utilizamos el término “hidratante” para referirnos a cualquiera de las mezclas de agua y grasas utilizada para retener la humedad y evitar la pérdida transepidérmica de agua (Transepidermal Water Loss, TEWL) y, al mismo tiempo mejorar la elasticidad, la sequedad y la descamación de la piel. Siguiendo este criterio, existen productos en los que la cantidad de agua predomina en la mezcla, es superior al 70% (mezclas O/W), lo que correspondería a las “leches” (hidratantes más fluidas, más fácilmente aceptable para superficies extensas, pero con menor capacidad hidratante, ya que la parte acuosa se evapora con facilidad, no “se absorbe”). Cuando las proporciones de agua son del 50-70% hablamos de “cremas” (O/W, ya que la proporción de agua sigue siendo mayor) y, cuando predomina la fase grasa (mezclas W/O), hablamos de pomadas. Los ungüentos están hechos a base de grasas exclusivamente, como en el caso de la vaselina.
La hidratación del estrato córneo incrementa la penetración de los fármacos a través de la piel. La hidratación antes de la aplicación tópica de un corticoide aumenta hasta diez veces la penetración. También se puede conseguir un aumento de la absorción mediante vendaje oclusivo de plástico (hasta más de 10 veces), con la aplicación de ungüentos o pomadas, la aplicación de fomentos o la inmersión previa en agua109. Como hidratantes, en la mayoría de las localizaciones de la psoriasis (codos, rodillas, superficies de extensión de las extremidades, tronco, manos y pies) se recomiendan hidratantes con un alto contenido en grasas tipo pomadas y ungüentos, que retienen con más facilidad la humedad de la piel. En la cara y los pliegues se prefieren las lociones y las cremas (O/W), ya que las hidratantes densas producen una capa oclusiva que dificulta la transpiración y causan incomodidad al paciente. Las hidratantes tipo ungüento se reservan para las manos y los pies ya que, al ser los excipientes más oclusivos evitan por completo la pérdida de agua e hidratan más la piel.
Respecto a la dieta, Ps y obesidad tienen una influencia recíproca (a más obesidad más gravedad de la psoriasis y viceversa). Una dieta equilibrada y de bajo índice glucémico podría ser un factor adyuvante de importancia en la prevención y el tratamiento de la Ps. Las personas obesas tienen mayor probabilidad de padecer psoriasis grave y artritis psoriásica. La suplementación dietética con pescado azul, rico en ácidos grasos omega-3, en la psoriasis ha mostrado algunos resultados en ensayos clínicos8. Se han estudiado las intervenciones dietéticas que ayudan a reducir la gravedad de la psoriasis. Se han identificado 55 estudios de calidad que incorporaron un total de 77.557 participantes de los cuales 4.534 padecían psoriasis. En base a dichos estudios, recomendamos encarecidamente la reducción de peso mediante una dieta hipocalórica en pacientes con sobrepeso y obesidad con psoriasis. Una de las más eficaces es la dieta mediterránea que incorpora fruta, verdura y legumbres, pescado (preferiblemente azul, rico en omega-3), carne de pollo y de conejo y poca carne roja, y AOVE (aceite de oliva virgen extra). Estas recomendaciones dietéticas de la Junta Médica de la NPF pueden reforzar a los médicos sobre la utilidad de las intervenciones dietéticas en adultos con psoriasis110. Independientemente, en caso de pacientes con marcadores serológicos de sensibilidad al gluten, algunos recomiendan una dieta sin gluten. La presencia de anticuerpos específicos contra la enfermedad celíaca (antiendomisio, antitransglutaminasa y antigliadina) en pacientes con psoriasis, parece relacionarse con la gravedad de la enfermedad. Estaría indicada una dieta sin gluten ya que ambas enfermedades comparten en parte la patogénesis inmune y el componente genético. El aumento de la permeabilidad intestinal, por atrofia de las vellosidades, facilita una mayor penetración del gluten, que podría actuar inmunógeno desencadenante. Todo ello implica la importancia de un enfoque multidisciplinar en su tratamiento111. Este beneficio no está suficientemente demostrado.
